반응형
안녕하세요. 언제나 휴일, 언휴예요.
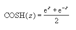
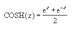
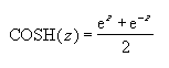
엑셀 함수 중 ACOSH 함수는 아크 하이퍼볼릭 코사인 함수로 쌍곡선 함수입니다.

=ACOSH(하이퍼볼릭 코사인 값)
예)
=ACOSH(1)
따라하기 실습
단계 1. 툴 바의 함수 삽입 버튼을 클릭한 후 함수 마법사 창에서 ACOSH를 선택한 후 확인 버튼을 클릭하세요.
(범주 선택: 모두)

단계 2. 하이퍼볼릭 코사인 값을 입력합니다. 하이퍼볼릭 코사인 값은 1이상의 실수입니다.

단계 3. 엔터를 입력하여 결과를 확인합니다.

사용 예
ACOSH.xlsx
0.01MB
반응형
'통계 > 엑셀 함수' 카테고리의 다른 글
| ACOS 엑셀 함수 - 아크 코사인 (0) | 2019.05.16 |
|---|---|
| ACCRINTM 엑셀 함수 - 만기에 이자를 지급하는 유가 증권의 경과 이자 (0) | 2019.05.16 |
| ACCRINT 엑셀 함수 - 유가 증권의 경과 이자 (0) | 2019.05.15 |
| ABS 엑셀 함수 - 절대값 구하기 (0) | 2019.05.15 |